BOJ 1003. 피보나치 함수 (Python)
2021. 2. 19. 18:12ㆍProblem Solving/BOJ
BOJ 1003. 피보나치 함수
https://www.acmicpc.net/problem/1003
1003번: 피보나치 함수
각 테스트 케이스마다 0이 출력되는 횟수와 1이 출력되는 횟수를 공백으로 구분해서 출력한다.
www.acmicpc.net
풀이
테스트 케이스에 대해 0이 출력되는 횟수와 1이 출력되는 횟수를 구해보면,
| 테스트 케이스 | 0이 출력되는 횟수 | 1이 출력되는 횟수 |
|---|---|---|
| 0 | 1 | 0 |
| 1 | 0 | 1 |
| 2 | 1 | 1 |
| 3 | 1 | 2 |
| 4 | 2 | 3 |
| 5 | 3 | 5 |
| 6 | 5 | 8 |
| 7 | 8 | 13 |
이렇게 된다. 이는
테스트 케이스(N)에 대한 0과 1의 출력 = (N-1)의 0 출력 갯수 + (N-2)의 0 출력 갯수
(N-1)의 1 출력 갯수 + (N-2)의 1 출력 갯수
임을 알 수 있다.
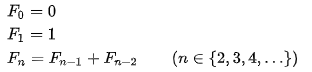
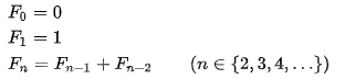
피보나치의 정의는

이것이고 잘 보면 위의 표가 피보나치 수와 매우 유사하다. 즉,
# 0 출력 횟수
F0 = 1, F1 = 0 인 피보나치 수
# 1 출력 횟수
F1 = 0, F2 = 1 인 피보나치 수
임을 알 수 있다.
이것을 매번 구하게 되면 계속 재귀 호출을 해야 하므로 나는 입력받은 수 중에 가장 큰수까지 테스트 케이스에 대한 0, 1의 출력 갯수를 모두 구하고
그저 for문을 돌려 해당 문제에 대한 답을 출력했다.
소스코드
result = [[1, 0], [0, 1]]
N = int(input())
Q = [int(input()) for _ in range(N)]
if max(Q) > 1:
for i in range(2, max(Q) + 1):
tmp = [result[i-2][0] + result[i-1][0], result[i-2][1] + result[i-1][1]]
result.append(tmp)
for n in Q:
print(result[n][0], result[n][1])

반응형
'Problem Solving > BOJ' 카테고리의 다른 글
| BOJ 1927. 최소 힙 (Python) (0) | 2021.02.23 |
|---|---|
| BOJ 2606. 바이러스 (Python) (0) | 2021.02.22 |
| BOJ 1764. 듣보잡 (Python) (0) | 2021.02.19 |
| BOJ 1620. 나는야 포켓몬 마스터 이다솜 (Python) (0) | 2021.02.19 |
| BOJ 11723. 집합 (Python) (0) | 2021.02.19 |